Vyhledat

iocb tech

hlavní partner portálu

Nezávislé informace o vědě a výzkumu

V nedávném rozhovoru náměstek pro vědu Pavel Doleček říká, že stát v rámci institucionálního financování výzkumu neprosazuje společenské vědní potřeby, potažmo priority společenské, protože stát nemůže výzkumným organizacím mluvit do toho, na co erární peníze použijí. Dle blogu Daniela Münicha do toho stát mluvit nemůže proto, že si pro to dosud nevytvořil dostatečně silné nástroje.

Rozhovor s Pavlem Dolečkem si můžete přečíst kliknutím na článek: 

Pavel Doleček: Byl bych velmi rád, kdyby se výsledky hodnocení propsaly do financování

Pavel Doleček působí jako náměstek ministra pro vědu, výzkum a inovace. V rozhovoru se zamýšlí nad smyslem hodnocení výzkumných organizací a nad tím, co může a nemůže nabídnout. Vysoké školy podle něj podceňují interní hodnocení a lidé často chtějí protichůdné věci: na jedné straně autonomii vysokých škol, ale zároveň vnější kontrolu, aby uvnitř vysoké školy nedocházelo k nespravedlnostem. Jak by podle něj mělo být provázané hodnocení a financování? Proč by se vysoké školy měly soustředit na formulaci své vize? A jak vnímá roli Rady pro výzkum, vývoj a inovace? 

A i kdyby ty nástroje čirou náhodou měl, tu je ještě jeden velký zádrhel. Stát totiž nemá smysluplné a použitelné oborové priority, které by mohl prosazovat. Pavel Doleček má tedy pravdu, ale jen z půlky. Druhá nevyřčená půlka pravdy je, že stát si své základní zodpovědnosti v řízení vědy dlouhodobě neplní.


Použité zkratky: VO–výzkumná organizace, DKRVO–peníze na Dlouhodobý koncepční rozvoj VO = IP–Institucionální podpora; MŠMT–Ministerstvo školství; AV ČR–Akademie věd ČR.


Otázka a odpověď

V nedávném rozhovoru na portálu VědaVýzkum.cz s Pavlem Dolečkem, náměstkem ministra pro vědu, padl, kromě řady dalších i důležitý dotaz, ohledně zásadní otázky řízení a financování vědy v Česku. V tomto blogu bych chtěl detailněji vysvětlit pozadí položené otázky a vysvětlit, že odpověď považuji za polovičatou a snažím se chybějící část odpovědi doplnit. Ale nejdříve o jakou otázku vlastně šlo:

Otázka: Ozývá se kritika, např. ze strany CERGE-EI, že financování (výzkumných) organizací stále vychází z historických poměrů v tzv. kafemlejnku, který současné Metodice hodnocení předcházel. Ten podle nich zvýhodňuje přírodní vědy oproti humanitním. Jak to napravit? 

Odpověď: Ti, co to říkají, mají pravdu jen na půl. Ano, je pravda, že institucionální financování, to tzv. DKRVO, vychází z nějakého historického nastavení. Z principu nebylo možné a ani průchozí to celé od začátku přepočítat. Nicméně, když se podíváte na výši DKRVO v době, kdy byly poměry zmrazeny, to znamená před rokem 2020, a na současnou výši,  zjistíte, že za těch posledních pět let DKRVO narostlo poměrně výrazně a výzkumné organizace měly možnost to zohlednit. Pokud měly pocit, že je tam historická nespravedlnost, měly možnost ji interně upravit. Pokud to neudělaly, tak je to věc jejich managementu a způsobu řízení. Není možné současně očekávat, že se vysoká škola bude sama autonomně řídit a nikdo jí nebude do ničeho mluvit, a zároveň požadovat, aby poskytovatel svým rozpočtovým nástrojem upravoval nějaké vnitřní nespravedlnosti, které by se navíc musely prokázat. 

Trocha teorie neuškodí

Dlouhodobě vysvětluji, že stát by institucionálním financováním (podporou) vědy měl sledovat dva velmi rozdílné cíle: (1) Měl by v rámci oborů podporovat výzkumnou kvalitu a směrovat podporu na pracoviště, kde efektivně dělají špičkovou vědu; (2) Společenské potřeby by měl stát promítat do oborových proporcí finanční podpory a potřebné obory by měl podporovat, i když jsou vědecky slabé a nevýkonné. 

Aby stát mohl sledovat cíl první, tedy rozvoj špičkových výzkumných organizací (VO) uvnitř oborů, musel by mít o vědecké kvalitě VO dostatek věrohodných informací. A tyto informace bohužel náš stát dlouhodobě neměl. Začalo se to zlepšovat až po zavedení hodnocení podle Metodiky 17+ v jejích Modulech 1 a 2. Ale ani po řadě zlepšení to dnes není velká sláva (1). Výsledky hodnocení stále více než výzkumnou produktivitu VO reflektují jejich velikost (1 | 2). I proto velké VO a velké obory hrají stále prim, byť produktivita a tedy kvalita některých není velká.

Stát nepodporuje vědu jen tak z plezíru pro „modré oči vědců", či jako koně na dostizích. Podporuje ji proto, že si od vědy slibujeme  společenské přínosy. Proto by měla institucionální podpora (oficiálně také DKRVO) jít i do těch oborů a oborových skupin, které dnes vykazují výsledky slabé, pokud je společnost potřebuje, pokud jsou společensky důležité. Aby takové vědní oblasti mohl stát systematicky podporovat, musí mít jasno, které to jsou. A zde má Česko další dva problémy. Jednak se z hodnocení podle Metodiky 17+ o kvalitě a velikosti vědních oborů v ČR v mezinárodním srovnání stále skoro nic nedozvíme. A za druhé, použitelné oborové priority stát definovány nemá. Přesněji řečeno, prioritami je v podstatě všechno a tedy nic. Stanovení skutečných priorit se navíc v minulosti opakovaně ukázalo jako těžký problém (1 | 2). V takovém případě pak není divu, že prioritou se stává status–quo.

Bylo by samozřejmě absurdní slabé vědní obory v jejich slabosti podporovat pouze proto, že jsou společensky potřebné. Jejich pokračující podpora musí být spojena s důrazem na jejich zkvalitňování, v případně nutnosti i na systémovou změnu. Větší podpora slabých a společensky potřebných  oborů tak musí jít hlavně do těch VO, které mají největší potenciál, že jejich expanze nebude na úkor kvality, ale naopak. Zde mám na mysli kontraktové  financování z úrovně státu, které je u nás stále popelkou, a ke kterému se na konci ještě vrátím.

Historické souvislosti

Tento blog se postupně stává kronikou a mé starší texty svědky pomalu zapomínané minulosti. Usnadní nám proto i myšlenkový skok do minulosti, kdy současné proporce vědních oborových skupin nastavil a zafixoval kafemlejnek. Kafemlejnek byl převratný, světově unikátní a pro českou vědu v řadě ohledů neblahý systém rozdělování téměř veškeré institucionální podpory vědy. Uplatňoval se od roku 2010 zhruba do roku 2018. Podrobně si o tom můžete přečíst zde (1 | 2 | 3 | 4 | 5 | 6 | 7). Stručně se to hlavní dá shrnout následovně. 

Od zeleného stolu se každému vědeckému výsledku u nás tehdy přiřadily body podle jednoduché tabulky (Obrázek 1). Každoroční institucionální podpora se pak mezi obory a VO rozdělila podle počtu získaných bodů v minulosti – ano, prostou trojčlenkou. Bodová hodnota zpočátku nezohledňovala ani takovou samozřejmost, že v některých oborových skupinách v důsledku oborových specifik připadá na autora diametrálně více výsledků než v oborech jiných. A jak vidíte v tabulce, kvalita výsledků a jejich přínos se do bodové hodnoty promítaly nedostatečně, u řady výsledků vůbec ne. 

Munich1

Kafemlejnek tak začal peníze mezi oborovými skupinami, obory i VO přesměrovávat dost náhodně. Když říkám náhodně, myslím tím, že to nebylo ani podle společenské potřebnosti, ani podle kvality VO v nich působících (1 | 2 | 3 ). Během let začala být absurdita kafemlejnkového financování zřejmá. Hrozila bezúčelná koncentrace finanční podpory v několika málo oborech s přirozeně vyšší frekvencí výsledků na autora a oborech a VO s menšími skrupulemi produkovat vysoké počty málo kvalitních výsledků za hodně bodů (1 | 2). Tehdy se s nadlidským úsilím podařilo prosadit alespoň dílčí změnu kafemlejnku, která proporce rozdělení peněz mezi oborovými skupinami zafixovala. Nikoliv však už mezi vědními obory. Tyto proporce ukazuje pravý sloupec Tabulky 2 z tehdejší Metodiky hodnocení.

Zhruba od roku 2015 tak skončila nesmyslná konkurence mezi oborovými skupinami a zůstala jen ta mezi VO uvnitř oborových skupin. I tam si ale ještě pár let polepšovaly VO s menšími skrupulemi generovat slabé výsledky za hodně bodů. Po dalších několika letech byl kafemlejnek po velké bitvě zrušen. Institucionální podpora pak byla na dlouhé roky zafixována v náhodných proporcích  vytvořených právě kafemlejnkem, na které se odkazuje otázka v úvodu. Tyto proporce tedy neměly a nemají nic společného se společenskými potřebami, ani s oborovými prioritami. Prostě to tak tehdy náhodně nějak vyšlo. Když tohle budete vyprávět někde v zahraničí, nebudou vám to věřit. 

Munich2

Řadu let po konci kafemlejnku zůstaly oborové proporce financování ze setrvačnosti zafixovány (1). Není divu, protože po ruce nebylo věrohodné zhodnocení oborů a VO, a země neměla použitelné vědní priority. Když pak před pár lety došlo k mírnému rozvolnění alokace podpory, prvky podpory kvalitní vědy i prvky podpory společenských priorit tam vidět nejsou. Ani v případě MŠMT, které rozděluje podporu mezi vysoké školy (1), ani v případě AV ČR, která podporu rozděluje mezi své ústavy (1). 

Je pravda, že MŠMT vysokým školám ani v době kafemlejnku, ani poté nemluvilo do toho, jak mají získané peníze mezi své obory rozdělit. Ale pravda je také to, že vysoké školy mechanismus státního kafemlejnku převzaly i s navijákem. Vytvořily si jeho vlastní interní klony, kterými interně dlouhé roky peníze rozdělovaly mezi své součásti, většinově fakulty,  mnohde i mezi jednotlivé vědce. Tím  se do jejich financování propsaly i absurdní oborové proporce nastavené celostátním kafemlejnkem. A není divu, protože škola, která by se interně od logiky celostátního kafemlejnku odklonila, by na tom v konečném důsledku prodělala.

Návrat do současnosti

Kafemlejnek je sice už roky na pravdě boží, ale na většině vysokých škol kafemlejnkové klony používají dodnes (1). A vnitřní mechanismy fungování vysokých škol, tedy fakultních a celoškolských senátů se slabým centrálním vedením z principu na nějaké oborové společenské potřeby moc nehledí. Při každoročním porcování finančního medvěda jde totiž hlavně o to porcování. V hlasovacích procedurách prostě vítězí většina hlasů a společenské priority či potřeby většinou uhýbají stranou.

Kauza české psychologie

Opakovaně jsem psal o tom, jak malé a neduživé u nás máme společensko-vědní a humanitní obory. A že u nás mají nadproporční velikost obory přírodovědné (1 | 2 | 3). Není divu, že  máme společensky velmi důležité, ale dlouhodobě paběrkující obory. Rád v této souvislosti uvádím obor psychologie, protože v jeho případě určitě nemám konflikt zájmů. A to, co zde o něm napíši, rozhodně není myšleno jako jeho kritika. Naopak jde o snahu, skoro jistě opět marnou, napomoci jeho rozvoji. 

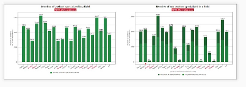
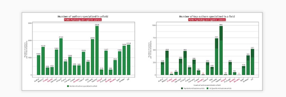
Solidnější základní výzkum v psychologii se u nás dělá na poměrně malém počtu personálně (věda) malých pracovišť, jde na něj málo peněz z institucionální podpory a na mezinárodní poměry obor generuje velmi nízký objem špičkových vědeckých výsledků. Graf 1a ukazuje počty autorů článků v psychologii připadající na 10 milionů obyvatel zemí EU15 plus nových členů. Graf 1c podobně v chemii. Rozdíl personálního zázemí oborů u nás tedy kosmický.  Česko má vědecky publikujících psychologů extrémně málo a těch publikujících v renomovanějších časopisech ještě méně než každá jedna země EU15. Graf 1b srovnává publikační výkon oboru Psychology and Cognitive Sciences v časopisech na indexu WoS v rozlišení jejich renomé (přepočteno na 10 milionů obyvatel zemí). Výsledky asi ani není třeba dál komentovat. Snad jen vysvětlení, že ten nízký publikační výkon Česka v psychologii je primárně dán malým počtem vědců–psychologů a to je zase dáno velmi nízkou veřejnou finanční podporou, která do tohoto oboru dlouhodobě u nás směřuje.

Munich3

Munich4

Munich5

Kdo se ale jen trochu dívá kolem, musí vidět, jak zoufale se nám tohoto oboru v životě země nedostává. Máme velmi málo špičkových psychologů vědců, těch z dobré ciziny obzvlášť. Není pak divu, že není dostatek kvalitních vyučujících v magisterských a doktorských programech. Praktikující psychology pak zoufale hledá naše školství, psychologické poradny i medicínská praxe. Převis uchazečů o vysokoškolské studium psychologie přitom tři dekády obrovsky převyšuje počty přijímaných. Situace je samozřejmě dána tím, že na příslušná pracoviště vysokých škol doteče příliš malý díl peněz, nejen těch na vzdělávací činnost, ale i těch na vzdělávací činnost (1). Stačí zmínit dlouhodobé případy Filozofické nebo Pedagogické fakulty Univerzity Karlovy (1 | 2 | 3 | 4). 

Velmi podrobně podfinancování  společensko-vědních a humanitních oborů a příslušných fakult oproti přírodovědným a dalším mapuje nedávná studie Govlab. Z ní jsem převzal Obrázky  2  4, ale najdete v ní spoustu dalších velmi zajímavých. Univerzitním senátům jsou společenské potřeby prostě většinou „šumák". Při hlasování v senátech prostě nikdo nezná bratra. A stát nad tím prostě nemá a nesmí mávnout rukou s odkazem na akademické svobody.

Munich6

Munich7

Munich8

A jak to vypadá s podporou psychologického výzkumu na Akademii věd ČR? Z poslední zprávy o ekonomické situaci AV ČR vyčteme, že na šest ústavů AV ČR v oboru chemie letos půjde téměř miliarda korun institucionální podpory, a na nejmenší z nich 49 milionů korun. V tomto srovnání pak podpora psychologie na AV ČR, tedy Psychologického  ústavu ve výši necelých 28 mil. korun, představuje spíše zaokrouhlovací chybu finanční podpory chemie na AV ČR. 

Munich9

Suma sumárum

Odpověď Pavla Dolečka v úvodu na první čtení budí dojem, že stát je v tom všem nevinně, že o naplňování společenských oborových priorit se měli a mají samy postarat managementy vysokých škol a AV ČR, a že jim do toho stát vlastně nemůže mluvit. Tak to ale rozhodně není. 

Stát by naopak měl např. nástrojem finanční institucionální podpory dosahování společenských potřeb v obou segmentech usměrňovat. Právě proto se v případě vysokých škol ve světě používá kontraktové financování. Státy si tam pomocí dlouhodobých kontraktů zajištění společenských potřeb v principu objednávají. U nás existuje jen několik případů, kdy se jistá forma kontraktu podařila MŠMT prosadit a to v případě  výuky lékařů, sester a pedagogů. Ale netýkalo se to vědy v těchto oborech a šlo spíše o výjimky potvrzující pravidlo.

Přitom přechod na kontraktové financování vysokých škol se u nás doporučuje od nepaměti. Jeho zavedení se ale stále odkládá a už se o tom ani nemluví. Jedním z důvodů je i to, že stát není schopen se dobrat ani použitelných oborových priorit, natož aby je pak prosazoval. 

V případě AV ČR je to funkčně dost jiné, ale v základních obrysech a konečném důsledku vlastně podobné.

 

Autor: Daniel Münich

Text vyšel na autorově blogu Metodikahodnoceni.blogspot.cz.

Příspěvky z rubriky Blogy a komentáře nijak nevyjadřují názory a postoje redakce.

Kategorie: Daniel Münich